
21 березня управління капітального будівництва Житомирської міської ради уклало договір підряду на коригування проектно-кошторисної документації реконструкції стадіону «Спартак». Виконавець робіт – Житомирська філія Державного проектного інституту «НДІпроектреконструкція». Вартість коригування – 366 тисяч 316 гривень. Того ж дня з ними уклали ще один договір – на виконання авторського нагляду за цим об’єктом за майже 111 тисяч гривень.
При цьому саму проектно-кошторисну документацію розробляло комунальне підприємство Житомирської обласної ради «Облархпроект». Договір з ними уклали у лютому 2017 року, вартість робіт – 550 тисяч гривень, з лютого по серпень 2017 року підприємство отримало від УКБ всю зазначену суму. Тобто, заплативши за проектну документацію більш ніж півмільйона, з міського бюджету витратять на коригування ще 67% від її вартості.
Закупівлі проектів проводилися за неконкурентною процедурою – управління капітального будівництва опублікувало звіти про вже укладені договори.

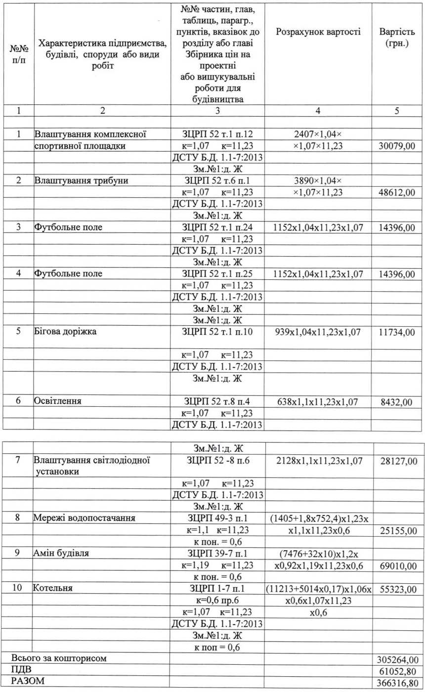
Додаток до договору від 21 березня 2018 року, укладеного з «НДІпроектреконструкція»
Нагадаємо, 19 березня мер Житомира Сергій Сухомлин повідомив, що реконструкція стадіону вже почалася.
Як повідомляв Житомир.info, стадіон «Спартак» передали у власність міста 19 травня 2016 року, в грудні цього ж року мер Сергій Сухомлин розповідав про плани на реконструкцію стадіону «Спартак», а у квітні 2017 р він разом з в.о. директора КП «Облархархпроект» показував як виглядатиме стадіон після реконструкції.
У листопаді минулого року на повторних торгах тендер на реконструкцію стадіону виграла виграла житомирська фірма «Комунальник». 420 тисяч гривень за технічний нагляд на об’єкті заплатять дружині заступника міського голови Сергія Кондратюка.







